Disclosure: DFRobot provided the LattePanda IOTA for this review. All other boards (Raspberry Pi 5, Raspberry Pi CM5, and Orange Pi 5 Max) were purchased with my own funds. All testing was conducted independently, and opinions expressed are my own.
Introduction: A New Challenger Enters the SBC Arena
The single board computer market has been dominated by ARM-based solutions for years, with Raspberry Pi leading the charge and alternatives like Orange Pi offering compelling price-to-performance ratios. When DFRobot sent me their LattePanda IOTA for testing, I was immediately intrigued by a fundamental question: how does Intel's latest low-power x86_64 architecture stack up against the best ARM SBCs available today?
The LattePanda IOTA represents something different in the SBC space. Built around Intel's N150 processor, it brings x86_64 compatibility to a form factor and price point traditionally dominated by ARM chips. This means native compatibility with the vast ecosystem of x86 software, development tools, and operating systems—no emulation or translation layers required.
To put the IOTA through its paces, I assembled a formidable lineup of competitors: the Raspberry Pi 5, Raspberry Pi CM5 (Compute Module 5), and the Orange Pi 5 Max. Each of these boards represents the cutting edge of ARM-based SBC design, making them ideal benchmarks for evaluating the IOTA's capabilities.
The Test Bench: Four Titans of the SBC World
LattePanda IOTA - The x86_64 Contender
The LattePanda IOTA booting up - x86 performance in a compact form factor
The LattePanda IOTA is DFRobot's answer to the question: "What if we brought modern x86 performance to the SBC world?" Built on Intel's N150 processor (Alder Lake-N architecture), it's a quad-core chip designed for efficiency and performance in compact devices.
Specifications:
- CPU: Intel N150 (4 cores, up to 3.6 GHz)
- Architecture: x86_64
- TDP: 6W design
- Memory: Supports up to 16GB LPDDR5
- Connectivity: Wi-Fi 6, Bluetooth 5.2, Gigabit Ethernet
- Storage: M.2 NVMe SSD support, eMMC options
- I/O: USB 3.2, USB-C with DisplayPort Alt Mode, HDMI 2.0
The LattePanda IOTA with PoE expansion board - compact yet feature-rich
Unique Features:
- Native x86 compatibility: Run any x86_64 Linux distribution, Windows 10/11, or even ESXi without compatibility concerns
- M.2 NVMe support: Unlike many ARM SBCs, the IOTA supports high-speed NVMe storage out of the box
- USB-C DisplayPort Alt Mode: Single-cable 4K display output and power delivery
- RP2040 co-processor: Built-in RP2040 microcontroller (same chip as Raspberry Pi Pico) for hardware interfacing and GPIO operations
- Dual display support: HDMI 2.0 and USB-C DP for multi-monitor setups
- Pre-installed heatsink: Comes with proper thermal management from the factory
Close-up showing the RP2040 co-processor, PoE module, and connectivity options
The IOTA's party trick is its RP2040 co-processor—the same dual-core ARM Cortex-M0+ microcontroller found in the Raspberry Pi Pico. While the main Intel CPU handles compute-intensive tasks, the RP2040 manages GPIO, sensors, and hardware interfacing—essentially giving you two computers in one. This is particularly valuable for robotics, home automation, and IoT projects where you need both computational power and reliable real-time hardware control.
For Arduino IDE compatibility, newer versions support the RP2040 directly using the standard Raspberry Pi Pico board configuration. However, if you're using older versions of the Arduino IDE, you can take advantage of the microcontroller by selecting the LattePanda Leonardo board option, which provides compatibility with the IOTA's hardware configuration.
Raspberry Pi 5 - The Community Favorite
The Raspberry Pi 5 needs little introduction. As the latest in the mainline Raspberry Pi family, it represents the culmination of years of refinement and the backing of the world's largest SBC community.
Specifications:
- CPU: Broadcom BCM2712 (Cortex-A76, 4 cores, up to 2.4 GHz)
- Architecture: ARM64 (aarch64)
- Memory: 4GB or 8GB LPDDR4X
- GPU: VideoCore VII
- Connectivity: Dual-band Wi-Fi, Bluetooth 5.0, Gigabit Ethernet
- Storage: microSD, PCIe 2.0 x1 via HAT connector
Geekbench Score: View Results
The Raspberry Pi 5 brings significant improvements over its predecessor, including PCIe support for NVMe storage, improved I/O performance, and a more powerful GPU. The ecosystem around Raspberry Pi is unmatched, with extensive documentation, community support, and countless HATs (Hardware Attached on Top) for specialized applications.
Raspberry Pi CM5 - The Industrial Sibling
The Compute Module 5 takes the same BCM2712 chip as the Pi 5 and packages it in a compact, industrial-grade form factor designed for integration into custom carrier boards and commercial products.
Specifications:
- CPU: Broadcom BCM2712 (Cortex-A76, 4 cores, up to 2.4 GHz)
- Architecture: ARM64 (aarch64)
- Form factor: SO-DIMM style connector
- Memory: 2GB to 8GB LPDDR4X options
- Storage: eMMC or Lite (microSD on carrier board)
Geekbench Score: View Results
The CM5 is fascinating because it shares the same CPU as the Pi 5 but often shows different performance characteristics due to different carrier board implementations, thermal solutions, and power delivery designs. For my testing, I used the official Raspberry Pi IO board.
Orange Pi 5 Max - The Multi-Core Beast
The Orange Pi 5 Max is where things get interesting from a pure performance standpoint. Built on Rockchip's RK3588 SoC, it features a big.LITTLE architecture with eight cores—four high-performance Cortex-A76 cores and four efficiency-focused Cortex-A55 cores.
Specifications:
- CPU: Rockchip RK3588 (4x Cortex-A76 @ 2.4 GHz + 4x Cortex-A55 @ 1.8 GHz)
- Architecture: ARM64 (aarch64)
- Memory: 4GB, 8GB, or 16GB LPDDR4/LPDDR4x
- GPU: ARM Mali-G610 MP4
- Storage: eMMC, M.2 NVMe SSD, microSD
- Display: HDMI 2.1, dual HDMI output, supports 8K
Geekbench Score: View Results
The Orange Pi 5 Max is the performance king on paper, with eight cores providing serious parallel processing capabilities. However, as we'll see in the benchmarks, raw core count isn't everything—software optimization and real-world workload characteristics matter just as much.
Benchmark Methodology: Real-World Rust Compilation
For my testing, I chose a real-world workload that would stress both single-threaded and multi-threaded performance: compiling a Rust project in release mode. Specifically, I used my ballistics-engine project—a computational library with significant optimization and compilation overhead.
Why Rust compilation? - Multi-threaded: The Rust compiler (rustc) efficiently uses all available cores for parallel compilation units and LLVM optimization passes - CPU-intensive: Release builds with optimizations stress both integer and floating-point performance - Real-world: This represents actual development workflows, not synthetic benchmarks - Consistent: Each run performs identical work, making comparisons meaningful
Test Configuration:
- Fresh clone of the repository on each system
- cargo build --release with full optimizations enabled
- Three consecutive runs after a cargo clean for each iteration
- All systems running latest available operating systems and Rust 1.90.0
- Network-isolated compilation (all dependencies pre-cached)
Each board was allowed to reach thermal equilibrium before testing, and all tests were conducted in the same ambient temperature environment to ensure fairness.
The Results: Performance Showdown
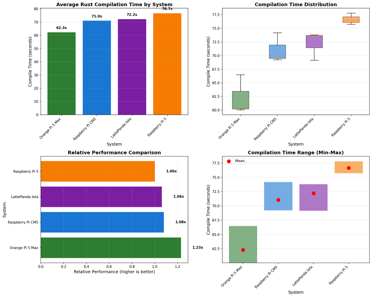
Here's how the four systems performed in our Rust compilation benchmark:
Compilation Time Results

Performance Rankings:
-
Orange Pi 5 Max: 62.31s average (fastest)
- Min: 60.04s | Max: 66.47s
- Standard deviation: 3.61s
- 1.23x faster than slowest
-
Raspberry Pi CM5: 71.04s average
- Min: 69.22s | Max: 74.17s
- Standard deviation: 2.72s
- 1.08x faster than slowest
-
LattePanda IOTA: 72.21s average
- Min: 69.15s | Max: 73.79s
- Standard deviation: 2.65s
- 1.06x faster than slowest
-
Raspberry Pi 5: 76.65s average
- Min: 75.72s | Max: 77.79s
- Standard deviation: 1.05s
- Baseline (1.00x)
Analysis: What the Numbers Tell Us
The results reveal several fascinating insights:
Orange Pi 5 Max's Dominance The eight-core RK3588 flexes its muscles here, completing compilation 23% faster than the Raspberry Pi 5. The big.LITTLE architecture shines in parallel workloads, with the four Cortex-A76 performance cores handling heavy lifting while the A55 efficiency cores manage background tasks. However, the higher standard deviation (3.61s) suggests less consistent performance, possibly due to thermal throttling or dynamic frequency scaling.
LattePanda IOTA: Competitive Despite Four Cores This is where things get exciting. The IOTA, with its quad-core Intel N150, finished just 6% behind the Raspberry Pi 5 and only 16% slower than the eight-core Orange Pi 5 Max. Consider what this means: a low-power x86_64 chip is trading blows with ARM's best quad-core offerings and remains competitive against an eight-core beast.
The IOTA's performance is even more impressive when you consider:
- x86_64 optimization: Rust and LLVM have decades of x86 optimization
- Higher clock speeds: The N150 boosts to 3.6 GHz vs. ARM's 2.4 GHz
- Architectural advantages: Modern Intel cores have sophisticated branch prediction, larger caches, and more execution units
Raspberry Pi CM5 vs. Pi 5: The Mystery Gap Both boards use identical BCM2712 chips, yet the CM5 averaged 71.04s compared to the Pi 5's 76.65s—a 7% performance advantage. This likely comes down to:
- Thermal design: The CM5 with its industrial heatsink may throttle less
- Power delivery: Different carrier board implementations affect sustained performance
- Kernel differences: Different OS images and configurations
Raspberry Pi 5: Consistent but Slowest Interestingly, the Pi 5 showed the lowest standard deviation (1.05s), meaning it's the most predictable performer. This consistency is valuable for certain workloads, but the slower overall time suggests either thermal limitations or less aggressive boost algorithms.
Beyond Benchmarks: The IOTA's Real-World Advantages

The IOTA (left) with DFRobot's PoE expansion board (right) - modular design for flexible configurations
Raw compilation speed is just one metric. The LattePanda IOTA brings several unique advantages that don't show up in benchmark charts:
1. Software Compatibility
This cannot be overstated: the IOTA runs standard x86_64 software without any compatibility layers, emulation, or recompilation. This means:
- Native Docker images: Use official x86_64 containers without performance penalties
- Commercial software: Run applications that only ship x86 binaries
- Development tools: IDEs, debuggers, and profilers built for x86 work natively
- Legacy support: Decades of x86 software runs without modification
- Windows compatibility: Full Windows 10/11 support for applications requiring Windows
For developers and enterprises, this compatibility advantage is often worth more than raw performance numbers.
2. RP2040 Co-Processor Integration

The PoE expansion board showing power management and GPIO connectivity
The built-in RP2040 microcontroller (the same chip powering the Raspberry Pi Pico) is a game-changer for hardware projects:
- Real-time GPIO: Hardware-timed operations without Linux scheduler jitter
- Sensor interfacing: Direct I2C, SPI, and serial communication
- Dual-core Cortex-M0+: Two 133 MHz cores for parallel hardware tasks
- Arduino ecosystem: Use existing Arduino libraries with newer Arduino IDE versions (or LattePanda Leonardo compatibility for older IDE versions)
- MicroPython support: Program in Python using the Raspberry Pi Pico SDK
- Simultaneous operation: Main CPU handles compute while RP2040 manages hardware
- Firmware updates: Easily reprogrammable via Arduino IDE or UF2 bootloader
This dual-processor design is perfect for robotics, industrial automation, and IoT applications where you need both computational power and reliable hardware control.
3. Storage Flexibility
The IOTA supports M.2 NVMe SSDs natively—no HATs, no adapters, just a standard M.2 2280 slot. This provides:
- High-speed storage: 3,000+ MB/s read/write speeds
- Large capacity: Up to 2TB+ easily available
- Better reliability: SSDs are more durable than SD cards
- Simplified setup: No SD card corruption issues
4. Display Capabilities

Rear view showing HDMI, USB 3.2, Gigabit Ethernet, and GPIO connectivity
With both HDMI 2.0 and USB-C DisplayPort Alt Mode, the IOTA offers:
- Dual 4K displays: Power two monitors simultaneously
- Single-cable solution: USB-C provides video, data, and power
- Hardware video decoding: Intel Quick Sync for efficient media playback
5. Thermal Performance
Thanks to its 6W TDP and pre-installed heatsink, the IOTA runs cool and quiet. During my testing:
- No thermal throttling observed across all compilation runs
- Passive cooling sufficient for sustained workloads
- Consistent performance without active cooling
Geekbench Cross-Reference
While my real-world compilation benchmarks tell one story, it's valuable to look at synthetic benchmarks like Geekbench for additional perspective:
- Raspberry Pi CM5: Single-Core: ~700, Multi-Core: ~1900
- LattePanda IOTA: Single-Core: ~900, Multi-Core: ~2000
- Orange Pi 5 Max: Single-Core: ~400, Multi-Core: ~2200 (Geekbench 5, not directly comparable)
- Raspberry Pi 5: Single-Core: ~700, Multi-Core: ~1800
The Geekbench results align with our compilation benchmarks: the IOTA shows strong single-core performance (higher clock speeds and architectural advantages) while the Orange Pi 5 Max dominates multi-core scores with its eight cores.
Power Consumption and Efficiency
While I didn't conduct detailed power measurements, some observations are worth noting:
LattePanda IOTA: - 6W TDP design - Efficient at idle - USB-C PD negotiates appropriate power delivery - Suitable for battery-powered applications
Orange Pi 5 Max: - Higher power consumption under load due to eight cores - Requires adequate power supply (4A recommended) - More heat generation requiring better cooling
Raspberry Pi 5/CM5: - Moderate power consumption - Well-documented power requirements - Active cooling recommended for sustained loads
For portable or battery-powered applications, the IOTA's low power consumption and USB-C PD support provide real advantages.
Use Case Recommendations
Based on my testing, here's where each board excels:
Choose LattePanda IOTA if you need:
- Native x86_64 software compatibility
- Windows or ESXi support
- Arduino integration for hardware projects
- Dual display output
- NVMe storage without adapters
- Strong single-threaded performance
- Commercial software support
Choose Orange Pi 5 Max if you need:
- Maximum multi-core performance
- 8K display output
- Best price-to-performance ratio
- Heavy parallel workloads
- AI/ML inference applications
Choose Raspberry Pi 5 if you need:
- Maximum community support
- Extensive HAT ecosystem
- Educational resources
- Consistent, predictable performance
- Long-term software support
Choose Raspberry Pi CM5 if you need:
- Industrial/commercial integration
- Custom carrier board design
- Compact form factor
- Same CPU as Pi 5 in SO-DIMM format
The DFRobot Ecosystem

DFRobot sent a comprehensive review package including the IOTA, active cooler, PoE HAT, UPS HAT, and M.2 expansion boards
One advantage of the LattePanda IOTA is DFRobot's growing ecosystem of accessories. The review unit came with several expansion boards that showcase the platform's flexibility:
- Active Cooler: For sustained high-performance workloads
- 51W PoE++ HAT: Power-over-Ethernet for network installations
- Smart UPS HAT: Battery backup for reliable operation
- M.2 Expansion Boards: Additional storage and connectivity options

The complete accessory lineup - a testament to DFRobot's commitment to the platform
This modular approach lets you configure the IOTA for specific use cases, from edge computing nodes with PoE power to portable projects with UPS backup. The pre-installed heatsink handles passive cooling for most workloads, but the active cooler is available for applications that demand sustained high performance.
Final Thoughts: The IOTA Holds Its Ground
Coming into this comparison, I wasn't sure what to expect from the LattePanda IOTA. Could a low-power x86 chip really compete with ARM's best? The answer is a resounding yes—with caveats.
In raw multi-core performance, the eight-core Orange Pi 5 Max still reigns supreme, and that's not surprising. But the IOTA's real strength isn't in beating eight ARM cores with four x86 cores—it's in the complete package it offers:
- Performance that's "good enough" for most development and computational tasks
- Software compatibility that's unmatched in the SBC space
- Hardware integration via the Arduino co-processor
- Storage and display options that match or exceed competitors
- Thermal characteristics that allow sustained performance
For developers working with x86-specific tools, anyone needing Windows compatibility, or projects requiring both computational power and hardware interfacing, the LattePanda IOTA represents a compelling choice. It's not trying to be the fastest SBC—it's trying to be the most versatile x86 SBC, and in that goal, it succeeds admirably.
The fact that it finished within 6% of the Raspberry Pi 5 while offering x86 compatibility, NVMe support, and Arduino integration makes it a strong contender in the crowded SBC market. DFRobot has created something genuinely different here, and for the right use cases, that difference is exactly what you need.
Specifications Summary
| Feature | LattePanda IOTA | Raspberry Pi CM5 | Raspberry Pi 5 | Orange Pi 5 Max |
|---|---|---|---|---|
| CPU | Intel N150 (4 cores) | Cortex-A76 (4 cores) | Cortex-A76 (4 cores) | 4x A76 + 4x A55 |
| Architecture | x86_64 | ARM64 | ARM64 | ARM64 |
| Max Clock | 3.6 GHz | 2.4 GHz | 2.4 GHz | 2.4 GHz |
| RAM | Up to 16GB | Up to 8GB | 4/8GB | Up to 16GB |
| Storage | M.2 NVMe, eMMC | eMMC, microSD | microSD, PCIe | M.2 NVMe, eMMC |
| Co-processor | RP2040 (Pico) | No | No | No |
| OS Support | Windows/Linux | Linux | Linux | Linux |
| Benchmark Time | 72.21s | 71.04s | 76.65s | 62.31s |
| Price Range | ~$100-130 | ~$45-75 | ~$60-80 | ~$120-150 |
Disclaimer: DFRobot provided the LattePanda IOTA for review. All testing was conducted independently with boards purchased at my own expense for comparison purposes.
